Given a quadratic equation as follows:
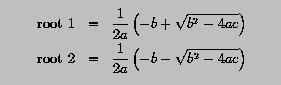
if b*b-4*a*c is non-negative, the roots of the equation can be solved with the following formulae:
Write a program to read in the coefficients a, b and c,
and uses an internal subroutine to solve the equation.  Note that a
quadratic equation has repeated root if b*b-4.0*a*c is equal to zero.
! --------------------------------------------------------------------
! PROGRAM  QuadraticEquation:
!    This program calls subroutine Solver() to solve quadratic
! equations.
! --------------------------------------------------------------------
PROGRAM  QuadraticEquation
   IMPLICIT  NONE
   INTEGER, PARAMETER :: NO_ROOT       = 0   ! possible return types
   INTEGER, PARAMETER :: REPEATED_ROOT = 1
   INTEGER, PARAMETER :: DISTINCT_ROOT = 2
   INTEGER            :: SolutionType        ! return type variable
   REAL               :: a, b, c             ! coefficients
   REAL               :: r1, r2              ! roots
   READ(*,*)  a, b, c                        ! read in coefficients
   CALL  Solver(a, b, c, r1, r2, SolutionType)    ! solve it
   SELECT CASE (SolutionType)                ! select a type
      CASE (NO_ROOT)                         !   no root
         WRITE(*,*)  "The equation has no real root"
      CASE (REPEATED_ROOT)                   !   repeated root
         WRITE(*,*)  "The equation has a repeated root ", r1
      CASE (DISTINCT_ROOT)                   !   distinct roots
         WRITE(*,*)  "The equation has two roots ", r1, " and ", r2
   END SELECT
CONTAINS
! --------------------------------------------------------------------
! SUBROUTINE  Solver():
!    This subroutine takes the coefficients of a quadratic equation
! and solve it.  It returns three values as follows:
!    (1) Type   - if the equation has no root, a repeated root, or
!                 distinct roots, this formal arguments returns NO_ROOT,
!                 REPEATED_ROOT and DISTINCT_ROOT, respectively.
!                 Note that these are PARAMETERS declared in the main
!                 program.
!    (2) Root1 and Root2 -  if there is no real root, these two formal
!                 arguments return 0.0.  If there is a repeated
!                 root, Root1 returns the root and Root2 is zero.
!                 Otherwise, both Root1 and Root2 return the roots.
! --------------------------------------------------------------------
   SUBROUTINE  Solver(a, b, c, Root1, Root2, Type)
      IMPLICIT  NONE
      REAL, INTENT(IN)     :: a, b, c
      REAL, INTENT(OUT)    :: Root1, Root2
      INTEGER, INTENT(OUT) :: Type
      REAL                 :: d         ! the discriminant
      Root1 = 0.0                       ! set the roots to zero
      Root2 = 0.0
      d     = b*b - 4.0*a*c             ! compute the discriminant
      IF (d < 0.0) THEN                 ! if the discriminant < 0
         Type  = NO_ROOT                !    no root
      ELSE IF (d == 0.0) THEN           ! if the discriminant is 0
         Type  = REPEATED_ROOT          !    a repeated root
         Root1 = -b/(2.0*a)
      ELSE                              ! otherwise,
         Type  = DISTINCT_ROOT          !    two distinct roots
         d     = SQRT(d)
         Root1 = (-b + d)/(2.0*a)
         Root2 = (-b - d)/(2.0*a)
      END IF
   END SUBROUTINE  Solver
END PROGRAM  QuadraticEquation
Click here to download this program.
3.0 6.0 2.0 The equation has two roots -0.422649741 and -1.57735026
1.0 -2.0 1.0 The equation has a repeated root 1.
1.0 1.0 1.0 The equation has no real root