
1. (similar to Exercise 1.2) Give a formal description of the
machines pictured below.

2. (Parts of Exercises 1.4-1.6) Give state diagrams for DFAs recognizing
the languages below.
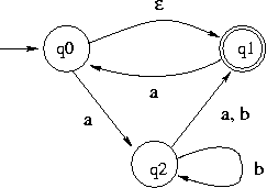
3. (Exercise 1.16b) Use the construction given in Theorem 1.39
to convert the following nondeterministic finite automaton to an
equivalent deterministic finite automaton.

4. (Exercise 1.11) Prove that every NFA can be converted to an equivalent one that has a single accept state. Is the reverse true? In other words, can every NFA with a single accept state be converted to one that has more than one accept state?
5. Use the construction given in the proof of
Theorem 1.45 to give the state diagram of an NFA recognizing the
union of
the two languages recognized by the DFAs in problem 1.
6. Use the construction given in the proof of
Theorem 1.47 to give the state diagram of an NFA recognizing the
concatenation of
the two languages recognized by the DFAs in problem 1.
7. Use the construction given in the proof of
Theorem 1.49 to give the state diagram of an NFA recognizing the
star of the language recognized by DFA M1 in problem 1.
