CENTER FOR BIOMEDICAL ENGINEERING
BE 306 Bio-Instrumentation (Lecture)
Solutions to Sample Problem Set 2
We would like to build a pressure sensor using a block of elastic material where the pressure is applied to the top surface measured by a strain gauge mounted on one of the side walls of the block. We would like to obtain a D R/R value of 0.01% on the strain gauge when a 1 mm Hg of pressure is applied on the top surface. If the gauge factor of the strain gauge is 2.5, what should the Young's Modulus of Elasticity, E, for the elastic block should be?


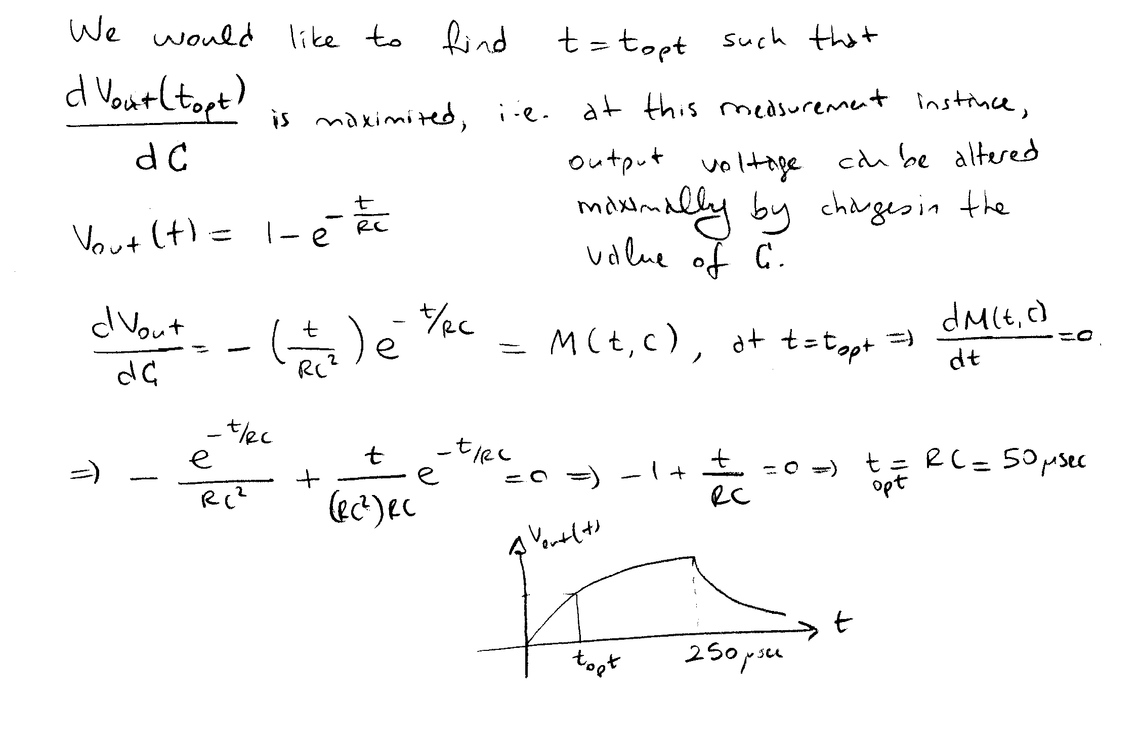
We have built a capacitive pressure sensor, which has a capacitance of 5 pF when no pressure is applied. We are periodically charging it with a 10 MW resistor connected to a 1 Volt source for 250 m -seconds. Calculate the best time to sample the output voltage (voltage across the capacitor) during the charging period to determine the value of the capacitor.


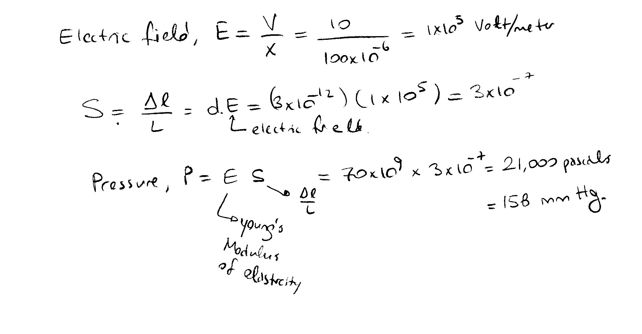
- Strain, relative elongation, of a piezoelectric crystal is given as S = d E, where S is the strain, d is the coupling coefficient, E is the externally applied electric field. If d is given as d = 3 x 10-12 meters/Volt, and a potential of 10 Volts is applied across a 100
m -meter section of the crystal, determine the produced pressure by a crystal having a Young's Modulus of Elasticity of 70 GigaPascals.

A short burst of ultrasound is travelling in a 3 cm thick tissue surrounding a bone. Speed of the sound in the tissue is given as 1,500 meters / second. A transducer is attached to the skin and it is small enough to not to effecting the sound characteristics of the tissue. Furthermore, we will assume that the transducer is perfectly coupled to the tissue. This transducer is being used to produce and detect sounds at every 20 m -seconds. Assuming that the sound impedance of the air is zero, and the sound impedance of the bone is infinite, determine the discrete model of the system. (Note: you can assume that the sound travels through the tissue with no loss)

Solve the problem 4 above assuming that the sound pressure decreases by P(x)=P0e-a x as a function of distance x (i.e. sound get attenuated as it travels through the tissue).

Explain how the transit time flow meter works. Why do we use AC excitation? Why are the two transducers driven by sinusoidal signals which are 180° out of phase?
ANSWER: PLEASE SEE PAGES 97-99 OF NOTES IN THE LIBRARY
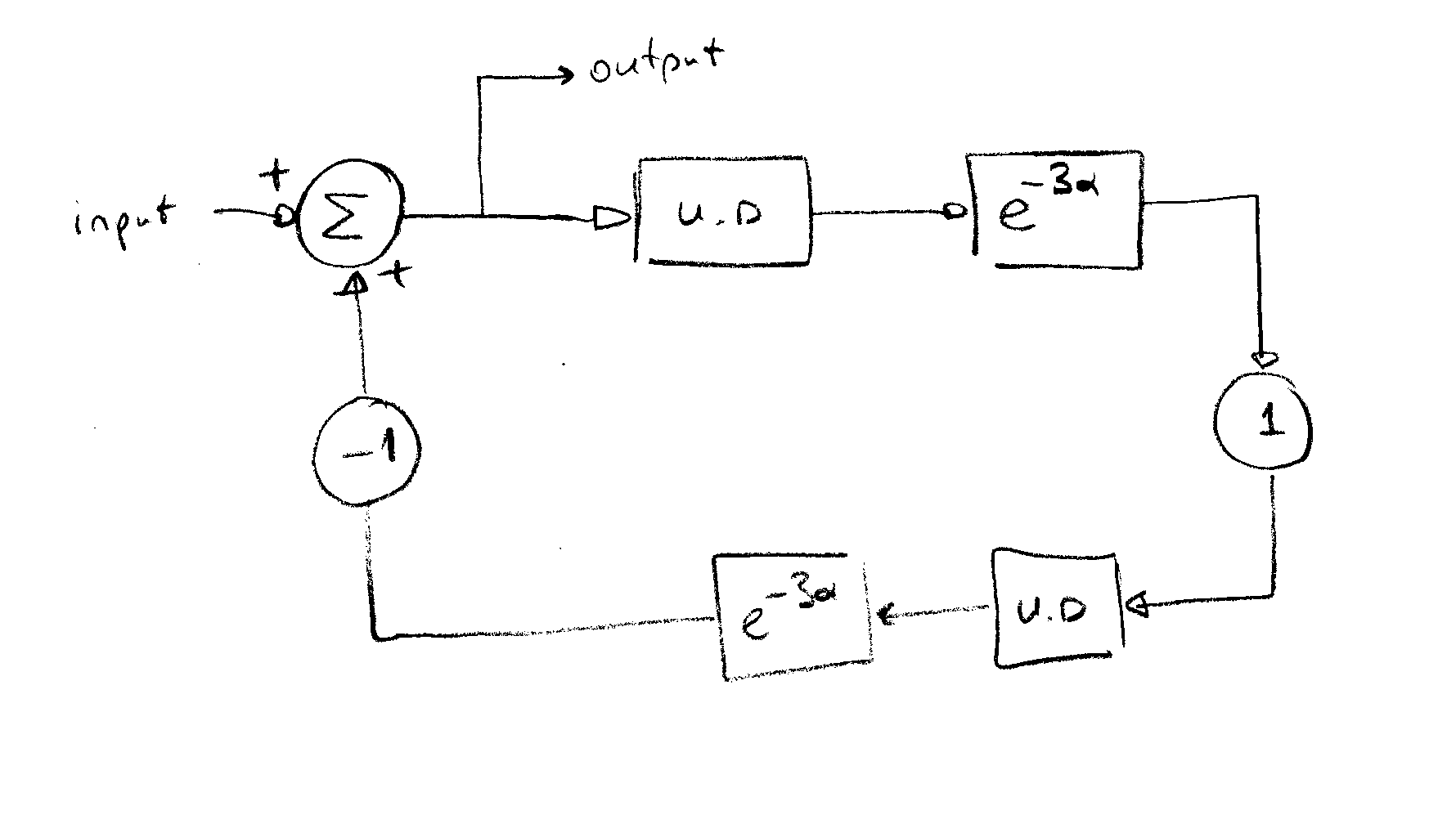
How would you characterize the following four circuits?


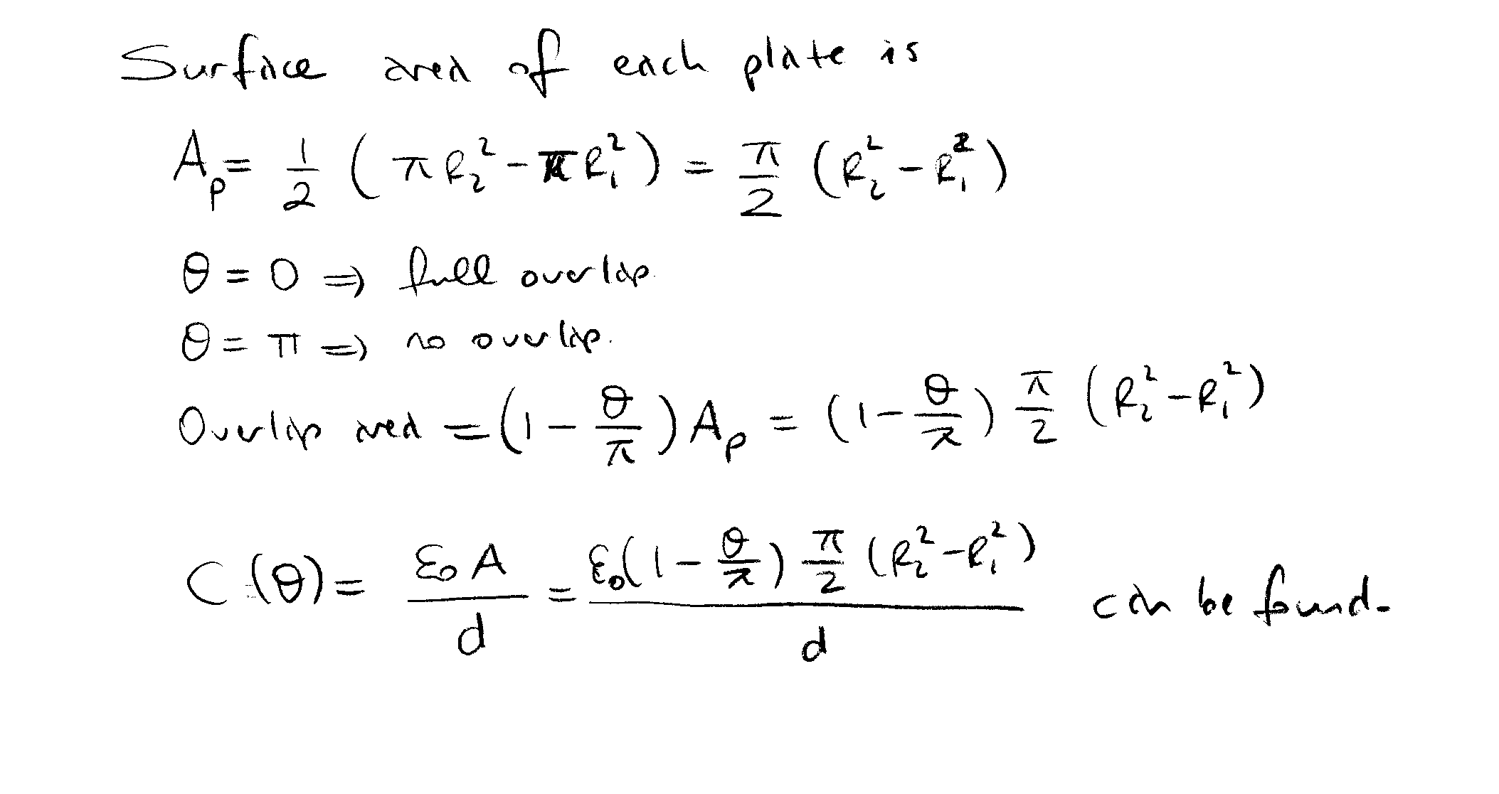
Derive the equations relating the measurement angle q to capacitance on a capacitive goniometer as shown below.

