Winter 1999-2000
BE 490 / 590: Implantable Device Technology
Exam 2
20 January 2000, Thursday
Name:
MTU ID#:
Your secret code for this exam is:
This exam:
GOOD LUCK!

1.a) (1 point) What are the symbols
and
represent?
(You must explain both to get full credit)
: Antigen (AGN). In this case, it represents the drug which concentration is being studied.
: Patient's own antibodies (ABY) against the drug
.
1.b) (2 points) Explain how this sensor works
On the absence of antibodies, the potassium ions are able diffuse through the PVC membrane and maintain an ionic current between the two electrolytes. If the patient develops an immune reaction against the drug, then the antibodies will attach to the drug immobilized on the PVC membrane, and reduce the ionic current. In the worst case, the combined AGN-ABY complex would completely block the surface of the membrane and isolate two electrolytic chambers à open circuit. This will be detected by the voltmeter.
1.c) (1 point) Is this a potentiometric or an amperometric sensor? Why?
The particular implementation shown for problem 1 is a potentiometric type sensor since a voltmeter is measuring the potential difference between the two electrodes. If this was a amperometric sensor, then there would be a power supply (e.g. a battery) and a current meter on the circuit.

ANSWER:



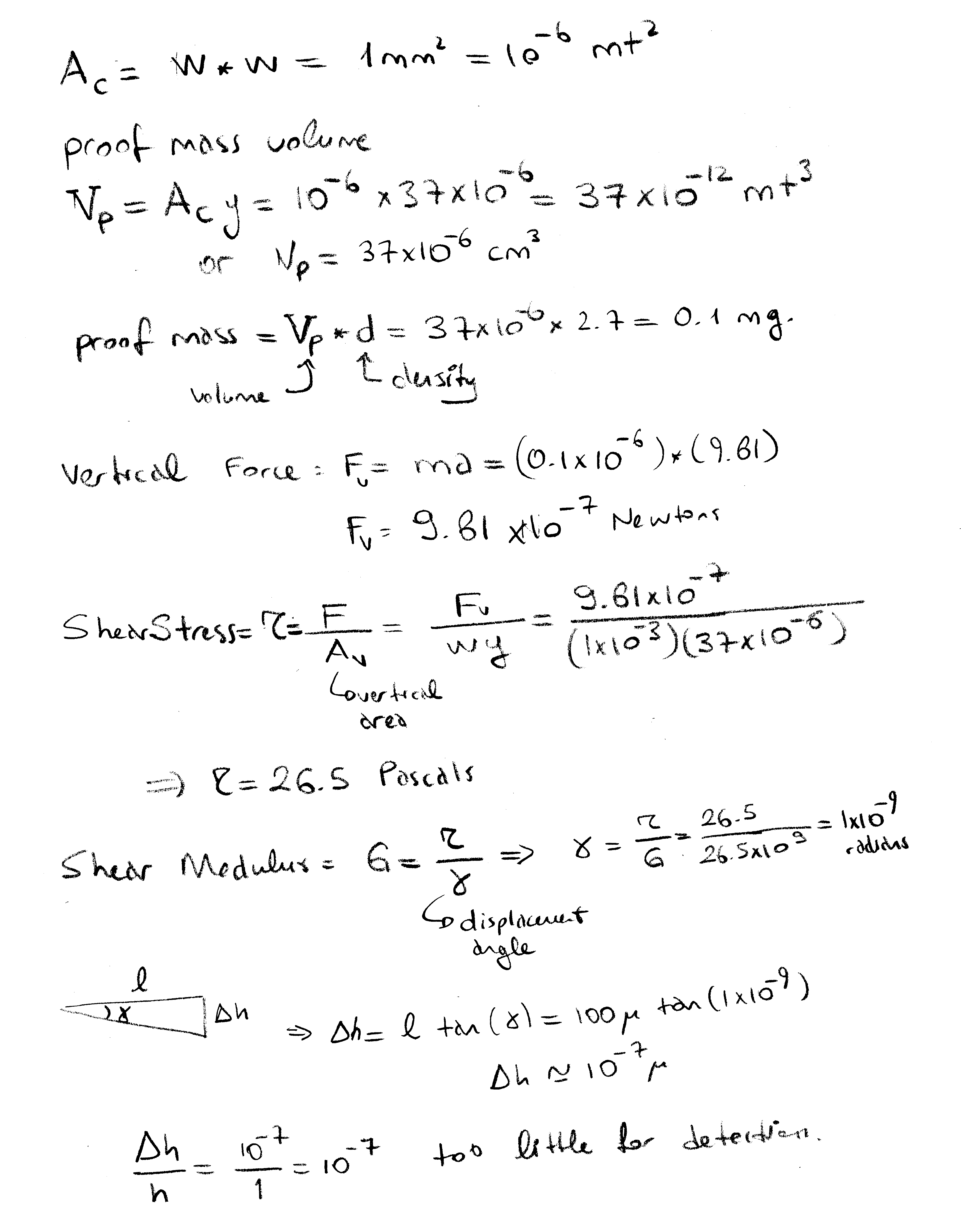
Dimensions are given as follows:
w = 1 mm,
ℓ = 100 m m, y = 37 m m, h = 1 m m, Ac is the horizontal surface area
Proof Mass is labeled with "m", and is attached to a cantilever beam. Cantilever beam as well as the proof mass is constructed out of Aluminum, which has the following material characteristics:
Density = d = 2.7 grams/cm3, Shear Modulus = G = 26.5 GigaPascals (GPa)
Assume that the proof mass is solid (not flexible), but the cantilever beam is flexible.
If the sensor is exposed to 1 g acceleration (9.81 meters/sec2), how much the distance between the proof mass and square block below it will be? i.e. h -
D h. Do you think that is a detectable amount?

Amplitude modulation suffers from the problem of signal quality degradation as the distance between the source and transmitter increases. At large distances, amplitude of the received signal is very low. Since the distinction between a "1" and a "0" is the difference in the amplitude of the sinusoidal carrier, at low amplitudes this distinction vanishes, and it becomes very difficult to tell the two codes aparts.
Frequency Modulation:
Instead of the amplitude of the sinusoidal signal, its frequency is altered according to the data being transmitted. For example, if the carrier frequency is 90 MHz, a zero can be transmitted as 89.99 MHz, and a one can be transmitted as 90.01 MHz.
Pulse Position Modulation:
In this case, only few cycles of the sinusoidal carrier is being used, instead of a continuous sine wave. Furthermore, duration of silent period between the bursts of pulses is adjusted as a function of the transmitted data. For example, to transmit a zero, we can use 1 milli-sec of silence between the pulses, and to transmit a one, we can use 2 milli-sec of silence between the pulses.

|
TIME |
SYSTOLIC PRESSURE |
DIASTOLIC PRESSURE |
|
00:00 |
140 |
80 |
|
01:30 |
140 |
80 |
|
03:00 |
120 |
80 |
|
04:30 |
120 |
80 |
|
06:00 |
120 |
80 |
|
07:30 |
120 |
80 |
|
09:00 |
160 |
90 |
|
10:30 |
140 |
80 |
|
12:00 |
120 |
80 |
|
13:30 |
160 |
90 |
|
15:00 |
140 |
80 |
|
16:30 |
120 |
80 |
|
18:00 |
120 |
80 |
|
19:30 |
180 |
90 |
|
21:00 |
160 |
90 |
|
22:30 |
140 |
80 |
ANSWER:
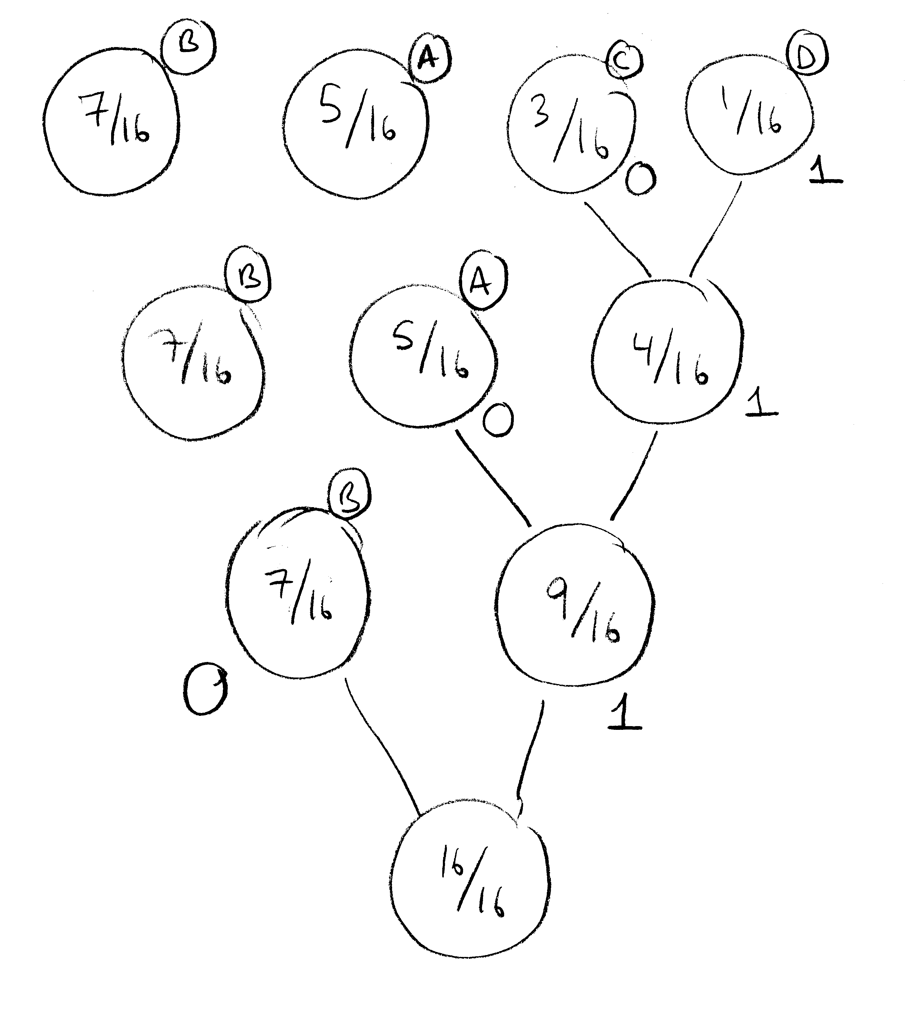
There appears to be only four combinations possible. Lets call them RAW DATA CODEs and use the following table to assign these codes:
|
RAW DATA CODE - X |
SYSTOLIC PRESSURE |
DIASTOLIC PRESSURE |
N(X) |
P(X) |
|
A |
140 |
80 |
5 |
5/16 |
|
B |
120 |
80 |
7 |
7/16 |
|
C |
160 |
90 |
3 |
3/16 |
|
D |
180 |
90 |
1 |
1/16 |
Then the raw data looks as follows:
|
TIME |
SYSTOLIC PRESSURE |
DIASTOLIC PRESSURE |
RAW DATA CODE |
|
00:00 |
140 |
80 |
A |
|
01:30 |
140 |
80 |
A |
|
03:00 |
120 |
80 |
B |
|
04:30 |
120 |
80 |
B |
|
06:00 |
120 |
80 |
B |
|
07:30 |
120 |
80 |
B |
|
09:00 |
160 |
90 |
C |
|
10:30 |
140 |
80 |
A |
|
12:00 |
120 |
80 |
B |
|
13:30 |
160 |
90 |
C |
|
15:00 |
140 |
80 |
A |
|
16:30 |
120 |
80 |
B |
|
18:00 |
120 |
80 |
B |
|
19:30 |
180 |
90 |
D |
|
21:00 |
160 |
90 |
C |
|
22:30 |
140 |
80 |
A |
Now we can apply the Hoffman algorithm:

At the end, we will have the following binary code assignments:
|
RAW DATA CODE - X |
SYSTOLIC PRESSURE |
DIASTOLIC PRESSURE |
BINARY CODE |
|
A |
140 |
80 |
10 |
|
B |
120 |
80 |
0 |
|
C |
160 |
90 |
110 |
|
D |
180 |
90 |
111 |

ANSWER:
|
A |
TAV |
|
B |
TVA |
|
C |
TVA |
|
D |
TAV |
|
E |
Intrinsic Atrial Contraction (p-Wave sensed) |
|
F |
Intrinsic Ventricular Contraction (QRS sensed) |