![]()
with initial condition, x(0)=5 and all higher derivatives of x are zero at t=0Step 1. Obtain the characteristic equation:
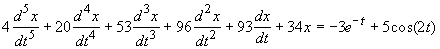
4s5 + 20 s4 + 53 s3 + 96 s2 + 93 s + 34 = 0
Step 2. Solve for the roots: { -2, -1, -1, -0.5+2i, -0.5-2i }
Step 3. Form the complementary solution,
xc (t) = A1 e-2t + A2 e-t + A3 t e-t + A4 e-0.5tcos(2t) + A5 e-0.5t sin(2t)
Step 4. Form the particular solution,
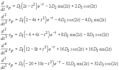
xp (t) = D1 t2 e-t + D2 cos(2t) + D3 sin(2t)
Step 5. Take the derivatives of xp(t),

Step 6. Substitute these derivatives into original equation, then equate coefficient on both sides,
34 D1 = -3
-30 D2 - 110 D3 = 5
110 D2 - 30 D3 = 0
and obtain the unknown coefficients: D1 = -0.0882, D2=-0.0138 and D3=-0.0459Step 7. Evaluate arbitrary coefficients.
x = xc + xp
= A1 e-2t + A2 e-t + A3
t e-t + A4 e-0.5t cos(2t)
+ A5 e-0.5t sin(2t)
- 0.0882 t2 e-t - 0.0115 cos(2t)
- 0.0423 sin(2t)
and applying the initial conditions,

Next, solve these 5 equations simultaneously to get A1=3.4639, A2=2.3387, A3=10.0673, A4=-0.7888, A5=-0.5517. So finally, the complete solution is given byx = 3.464 e-2t + 2.339 e-t + 10.067 t e-t – 0.788 e-0.5t cos(2t) – 0.5517 e-0.5t sin(2t)
Step 8. Plot the result to observe the trajectory.

Click here to go back to the short review on solving ODEs
This page is maintained by Tomas B. Co (tbco@mtu.edu). Last revised 11/29/1998.
Tomas B. Co
Associate Professor
Department of Chemical Engineering
Michigan Technological University
1400 Townsend Avenue
Houghton, MI 49931-1295